Rémanent de supernova
On nomme rémanent de supernova la matière éjectée lors de l'explosion d'une étoile en supernova. Il existe deux voies envisageables qui aboutissent à la création d'un rémanent ...
Recherche sur Google Images :
Source image : fr.wikipedia.org Cette image est un résultat de recherche de Google Image. Elle est peut-être réduite par rapport à l'originale et/ou protégée par des droits d'auteur. |
Page(s) en rapport avec ce sujet :
- Un rémanent de supernova photographié en rayons gamma... Ayant jusqu'à un milliard de fois l'énergie des rayons-X ordinaires médicaux, ils pénètrent... (source : cidehom)
On nomme rémanent de supernova la matière éjectée lors de l'explosion d'une
- Une étoile massive cessant de générer de l'énergie par l'intermédiaire de la fusion de son cœur, et finissant par s'effondrer sous l'effet de sa propre gravité. On parle de supernova à effondrement de cœur, au centre duquel se trouve un résidu compact (étoile à neutrons ou trou noir). Tandis que l'étoile massive fait plus de 8 masses solaires, le résidu compact fait de l'ordre de 1, 5 masse solaire.
- une naine blanche ayant accumulé assez de matière provenant d'une étoile voisine ou entrant en collision avec celle-ci pour atteindre la masse critique qui génère une explosion thermonucléaire. On parle de supernova thermonucléaire. Dans le cas où il y a accrétion de matière et non collision, l'étoile compagnon peut peut-être survivre à l'explosion. L'étoile qui explose est par contre complètement détruite, sans laisser de résidu compact derrière elle .
Historique
La première supernova observée depuis l'invention du télescope date de 1885, dans la galaxie d'Andromède (SN 1885A). L'étude des rémanents de supernovæ date par contre du début du XXe siècle. C'est en premier lieu en 1921 que Knut Lundmark mentionne le fait que l'«
Désignation des rémanents de supernova
Les rémanents sont actuellement toujours catalogués avec le symbole SNR, suivi de ses coordonnées galactiques. Divers autres noms sont attribués à certains rémaments, surtout pour ceux qui ont été détectés avant d'être identifiés comme tels.
Types de rémanents
On classifie les rémanents en deux principaux types, dits en coquille ou pleins. Les premiers s'avèrent significativement plus nombreux que les seconds, mais ceci peut en partie être le résultat d'effets de sélection dans la recherche de rémanents. Certains rémanents possèdent des propriétés des deux classes et sont dits composites. D'autres rémanents, enfin, ne sont pas aisément catégorisables car présentant des propriétés atypiques. C'est par exemple le cas de SNR G069.0+02.7 (aussi nommé CTB 80) ou SNR G039.7-02.0 (ou W50).
Coquilles
Les rémaments dits en coquille présentent une zone d'émission plus ou moins circulaire située à une certaine distance du centre du rémanent, plus sombre. Les rémanents des trois supernovæ historiques SN 1604, SN 1572 et SN 1006 sont par exemple dans ce cas. Des rémanents plus âgés présentent aussi ces caractéristiques, mais sont moins réguliers, comme les Dentelles du Cygne ou IC 443. L'irrégularité croissante des rémanents à mesure que le temps passe reflète pour partie l'hétérogénéité du milieu interstellaire dans lequel ils se propagent. Dans le domaine des ondes radio, les rémanents en coquille présentent une densité de flux S qui fluctue en loi de puissance selon la fréquence ν, c'est-à-dire selon une loi du type
. L'exposant α est nommé indice spectral[4]. Cet indice spectral est de l'ordre de 0, 5, et peut être plus jeune pour des rémanents jeunes. Cette émission radio est polarisée et le résultat d'un rayonnement synchrotron de particules relativistes se déplaçant le long des lignes de champ magnétique. En plus de ce rayonnement synchrotron, certains rémanents présentent une émission thermique dans le domaine visible ou celui des rayons X. Certains rémanents présentent en plus une émission non thermique en X.
Pleins
Les rémanents pleins, aussi dits «plérions», ou «de type Crabe» (pour Nébuleuse du Crabe) présentent une émission centrale plus marquée que sur les bords. L'exemple le plus connu de ces rémanents est la Nébuleuse du Crabe, mais celle-ci présente certains aspects atypiques, aussi le terme de «type Crabe» est-il déconseillé car il peut y avoir confusion entre les caractéristiques spécifiques de cette nébuleuse et celles des autres plérions. L'interprétation de l'émission centrale est l'existence d'un objet compact responsable d'une émission électromagnétique en interaction avec toute la matière du rémanent. Si dans le cas de la Nébuleuse du Crabe l'existence d'un objet central ne fait pas de doute, ce dernier n'est pas forcément identifié. La densité de flux de ces rémanents est plus plate que dans le cas des coquilles, l'indice spectral α étant généralement de l'ordre de 0, 1. Une telle émission se rapproche de celle qu'on trouve dans les régions HII, à ceci près que celle des régions HII est d'origine thermique tandis que celle de ces rémanents est non thermique, car présentant une polarisation significative. Ces rémanents présentent aussi une émission optique et X non thermale (thermale en optique pour la Nébuleuse du Crabe).
Composites
Les rémanents dits composites présentent des caractéristiques communes aux deux types présentés ci-dessus, avec une émission caractéristique des rémanents pleins au centre avec un indice spectral faible, et une émission plus intense en bordure présentant un indice spectral plus important. Un exemple de rémanent composite est SNR G326.3-01.8 (MSH 15-56). Vela (XYZ) le rémanent dont l'objet central est le pulsar de Vela (ou PSR B0833-45) est aussi classé parmi les rémanents composites.
Population et caractéristique
L'on connaît à ce jour à peu près 250 rémanents dans la Voie lactée, ce qui correspond à l'ordre de grandeur attendu étant donnés le taux de formation, la durée de vie et les effets de sélection affectant leur détection. En 2002, on comptait 84% de rémanents en coquilles, 4% de pleins et 12% de composites. Ces rapports d'abondance sont assez différents de ceux des supernovæ thermonucléaires comparé à celles à effondrement de cœur, ce qui montre qu'il n'est pas envisageable de faire une assimilation simple entre les rémanents en coquilles et ceux issus d'événements laissant derrière eux un résidu compact. Une des raisons de la prééminence des rémanents en coquille est certainement due à des effets de sélection : il est plus facile d'identifier un rémanent avec une structure en coquille à ceux ayant une structure pleine, ces derniers étant fréquemment complexes à distinguer de régions HII de forme régulière sphérique.
En terme d'ordre de grandeur, les études des supernovæ font ressortir que l'énergie communiquée à un rémanent est de l'ordre de 1044 joules, pour une masse éjectée d'une masse solaire. Cela fait une vitesse d'éjection de l'ordre de 10 000 kilomètres par seconde. [5]
Formation et évolution des rémanents
Les rémanents se forment suite à l'explosion d'une étoile en supernova. L'explosion n'est pas nécessairement sphérique, mais certains rémanents gardent longtemps une forme extrêmement régulière. L'influence d'une source d'énergie interne (un pulsar central) peut affecter significativement la forme et l'évolution du rémanent. Dans l'hypothèse de l'absence d'une source centrale, on distingue principalement quatre phases dans la vie d'un rémanent :
- Phase I, expansion libre. La matière éjectée par l'explosion l'est à une vitesse particulièrement supérieure à la vitesse de libération de l'astre. Le champ gravitationnel de ce dernier est négligeable, et la matière éjectée n'est pas affectée par celle-ci. Elle se propage ainsi à vitesse constante, emportant sur son passage la matière du milieu interstellaire. Cette phase dure tant que la quantité de matière balayée est petite comparé à la matière éjectée. Le rayon R du rémanent croît à vitesse constante, sa valeur est proportionnelle au temps :
-
,
- la constance de proportionnalité étant la vitesse de la matière éjectée, qui se compte en milliers de kilomètres par seconde. Le taux d'expansion du rémanent donne l'inverse de son âge. En effet le taux d'expansion,
donne directement
.
- Phase II, expansion adiabatique, dite phase de Sedov-Taylor. La masse de la matière balayée par l'explosion devient significative, ou alors supérieure à la matière éjectée. Cependant, le transfert de quantité de mouvement entre matière en mouvement et matière interstellaire originellement au repos se fait sans perte d'énergie, d'où le terme d'adiabatique. Le rayon du rémanent croît toujours au cours du temps, mais les échanges d'énergie font que cette croissance décélère au cours du temps. Un calcul simple (voir Phase de Sedov-Taylor) donne une dépendance.
-
,
- avec une constante de proportionnalité qui ne dépend que de l'énergie dégagée lors de l'explosion et de la densité du milieu interstellaire. Historiquement, cette phase a été étudiée dans le contexte des explosions thermonucléaires atmosphérique. L'inverse du taux d'expansion est cette fois supérieur à l'âge du rémanent, puisque on a
.
- Dans cette phase, l'arrivée du rémanent dans le milieu interstellaire est responsable d'une onde de choc se propageant vers l'extérieur dans le milieu interstellaire, ainsi qu'une onde choc réfléchie se réfléchissant vers le centre. On parle dans ce cas de choc inverse.
- Phase III, pertes radiatives. Cette fois, l'énergie du rémanent est faible, et le choc entre le rémanent lui-même et le milieu interstellaire provoque des pertes significatives d'énergie. L'expansion du rémanent s'en trouve ralentie, avec une loi de puissance possédant un exposant moindre que le facteur 2/5 de la phase de Sedov-Taylor. Le front avant du rémanent se voit rattrapé par les couches plus internes, moins sujettes aux pertes d'énergie, formant une distribution de matière en coquille.
- Phase IV, disparition. La densité du rémanent devient de l'ordre de celle du milieu interstellaire et l'énergie dégagée par les interactions avec le milieu interstellaire devient faible pour rayonner suffisamment. Le rémanent perd son identité et disparait. Cela se produit lorsque la vitesse d'expansion du rémanent descend en-dessous de quelques kilomètres par seconde.
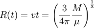
La transition entre la phase I et la phase II se fait quand le volume balayé par le rémanent correspond à une masse de milieu interstellaire de l'ordre de la masse éjectée, soit une masse solaire. Avec une densité typique du milieu interstellaire de l'ordre d'un atome d'hydrogène par centimètre cube, soit une densité de 1, 6×10-21 kg/m3, cela se produit lorsque le rémanent atteint un rayon de l'ordre de 0, 7×1017 mètres, soit une petite dizaine d'années-lumière. Avec une vitesse d'expansion alors identique à la vitesse d'origine de 10 000 km/s, cela correspond à un âge de quelques milliers d'années.
Le volume balayé par le rémanent supposé sphérique et de rayon R (t) est
.
Ce volume correspond à une masse M dans un milieu de densité μ si
,
soit quand
.
Avec les données numériques auparavant évoquées, l'application numérique donne le résultat annoncé. Il ne s'agit bien sur que d'ordre de grandeur, la densité du milieu interstellaire étant particulièrement variable selon la région de la Galaxie reconnue.
La phase de Sedov Taylor elle-même dure énormément plus longtemps, estimée à quelques centaines de milliers d'années. Cela correspond à un facteur numérique près à la durée d'observabilité d'un rémanent, ceux-ci devenant difficilement observables lorsque leur énergie devient trop faible. Avec un taux de supernovæ de l'ordre d'une par siècle, on s'attend par conséquent à un nombre de rémanents potentiellement observables de l'ordre de quelques milliers. Le nombre de rémanents effectivement identifiés comme tels étant significativement plus faible, pour diverses raisons explicitées ci-dessous.
Le milieu interstellaire étant loin d'être homogène, les rémanents ne sont pas obligatoirement de forme sphérique : dès qu'ils entrent dans la phase de Sedov-Taylor, la vitesse d'expansion d'une région du rémanent est reliée à la densité du milieu interstellaire de cet lieu. Les rémanents 3C 58 et la Nébuleuse du Crabe sont des exemples de rémanents non sphériques.
La frontière entre le rémanent et le milieu interstellaire est nommée discontinuité de contact. Cette région est sujette à une instabilité dite de Rayleigh-Taylor. Cette instabilité génère de la turbulence à l'interface des deux régions, augmentant le champ magnétique qui y est présent. Ce champ magnétique provoque en retour une émission radio (par rayonnement synchrotron entre autres). C'est la raison principale pour laquelle les rémanents en coquille présentent un maximum de luminosité à la frontière entre le rémanent et le milieu interstellaire. La situation inverse se produit dans les rémanents pleins, car le gros de l'émission d'énergie ne provient pas de la frontière du rémanent, mais du probable objet central (l'énergie du pulsar du Crabe correspond par exemple à près de 100 000 luminosité solaires).
En l'absence de source d'énergie centrale, l'expansion du rémanent décélère au cours du temps : la vitesse d'expansion reste constante lors de la phase I, puis décroît au cours de la phase de Sedov Taylor. Dans ce cas, l'âge du rémanent est toujours inférieur à celui déduit en prenant l'inverse du taux d'expansion. Par contre, en présence d'une source centrale, l'apport d'énergie peut être suffisant pour accélérer l'expansion du rémanent. Dans ce cas, le rémanent peut être plus jeune que ce que son taux d'expansion ne suggère.
Détection et observation
La plupart des rémanents de supernova sont détectés dans le domaine radio. La raison est que ceux-ci sont généralement localisés à proximité du plan galactique, siège d'une particulièrement forte absorption dans le domaine visible ou à plus courte longueur d'onde (rayons X entre autres). Plusieurs effets de sélection ont tendance à biaiser la détection des rémanents :
- Les rémanents de petite taille (car jeunes ou lointains) peuvent avoir une taille trop petite pour être détectables par les relevés radio. En pratique, on observe assez peu de rémanents dont la taille est en-dessous de 5 minutes d'arc, la majorité des rémanents se situant entre 10 et 30 minutes d'arc.
- Ceux avec une faible brillance de surface sont complexes à distinguer du bruit de fond de la Galaxie. Un autre effet de sélection résulte de la couverture du ciel des relevés dans le domaine radio : la majorité se restreignent à des basses latitudes galactiques. Les rémanents issus de supernovæ éloignées du plan galactique (car proches, par exemple) peuvent ainsi échapper à la détection. On observe une très nette diminution du nombre de rémanents dont la brillance de surface est en-dessous de 10-21 W·m-2·Hz-1·sr-1, une brillance de 10-20 W·m-2·Hz-1·sr-1 étant plus typique des rémanents observés.
Des effets dus à la répartition des relevés interviennent aussi. Il existe par exemple plus de grands radiotélescopes dans l'hémisphère nord que dans l'hémisphère sud, aussi les parties du plan galactique localisées à basse déclinaison sont-elles moins bien observées. À ceci s'ajoute le fait que l'émission galactique est moins intense dans la direction opposée au centre galactique. Les rémanents à faible brillance de surface sont ainsi plus faciles à détecter à l'opposé du centre galactique que vers ce dernier. Les rémanents les plus brillants ont certainement déjà tous été découverts. Il est estimé qu'un rémanent aussi lumineux que la Nébuleuse du Crabe serait détecté même s'il était à l'autre bout de la Galaxie. Cependant, cela ne veut pas dire que l'ensemble des rémanents jeunes ont été découverts. SNR G327.6+14.6, le rémanent de SN 1006 est d'un âge comparable à la Nébuleuse du Crabe, mais bien moins brillant. Sa détection doit en particulier à sa relative proximité du dispositif solaire (de l'ordre de 2 kiloparsecs).
Référence
- (en) F. Richard Stephenson & David A. Green, Historical supernovæ and their remnants, Clarendon Press, Oxford, 2002, 252 pages (ISBN 0198507666) , pages 34 à 44.
Notes
- ↑ (en) Knut Lundmark, Suspected New Stars Recorded in Old Chronicles and Among Recent Meridian Observations, Publications of the Astronomical Society of the Pacific, 33, 225-238 (1921) Voir en ligne.
- ↑ (en) Edwin P. Hubble, Novæ or Temporary Stars, Astronomical Society of the Pacific Leaflets, 1, 55 (1928) Voir en ligne.
- ↑ (en) R. Hanbury Brown & C. Hazard, Radio-Frequency Radiation from Tycho Brahe's Supernova (A. D. 1572) , Nature, 170, 364-365 (1952).
- ↑ En théorie, c'est la quantité -α qui correspond à l'indice spectral, mais celle-ci étant généralement négative, certains auteurs définissent l'indice spectral au signe près pour que ce dernier soit positif. Le signe de l'indice spectral donne généralement la convention de signe utilisée, celle-ci étant de toute façon toujours précisée par les auteurs dans la littérature scientifique.
- ↑ La vitesse v d'un objet de masse M et d'énergie cinétique E est donnée par :
.
Recherche sur Amazone (livres) : |
Voir la liste des contributeurs.
La version présentée ici à été extraite depuis cette source le 30/04/2009.
Ce texte est disponible sous les termes de la licence de documentation libre GNU (GFDL).
La liste des définitions proposées en tête de page est une sélection parmi les résultats obtenus à l'aide de la commande "define:" de Google.
Cette page fait partie du projet Wikibis.


Accueil
Recherche
Début page
Contact
Imprimer
Accessibilité